narkologia-40.ru
narkologia-40.ru

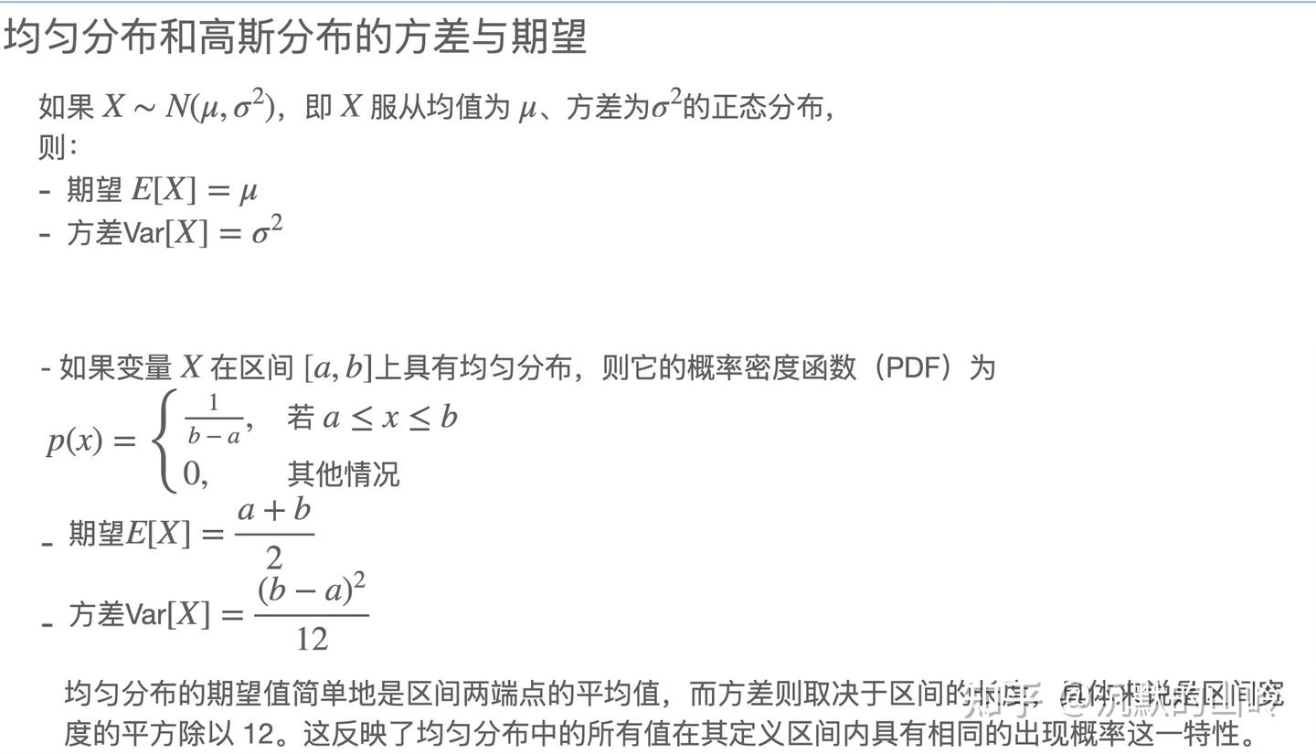
均匀 分布 期望 和 方差 (94) 사진

PPT - 一、二维随机向量的数学期望与方差PowerPoint Presentation - ID:5799265

S&P_06_常见随机变量的期望与方差和应用实例- tlfox_2006 - 博客园

概率论与数理统计思维导图模板_ProcessOn思维导图、流程图

均匀分布的方差和期望怎么算- 抖音

熟悉常见概率分布

概率论与数理统计| Roy

数学期望

二项分布期望和方差推导-腾讯云开发者社区-腾讯云

MSELab

4 2方差| PDF

3 多元分布| 多元统计分析讲义

均匀分布的期望与方差_均匀分布的期望和方差-CSDN博客

第九讲连续型随机变量及其概率分布- 作业部落Cmd Markdown 编辑阅读器

几何分布的数学期望与方差计算_夸克文档

第七讲离散型随机变量的期望与方差- 作业部落Cmd Markdown 编辑阅读器

7.3 偏差和方差分解| 王冠嵩

二Д学习指导Д知识结构一

PPT - 一、二维随机向量的数学期望与方差PowerPoint Presentation - ID:5799265

3 多元分布| 多元统计分析讲义

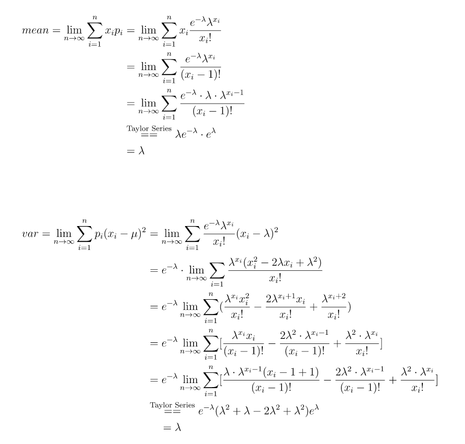
∑ ∑

对数正态分布的期望和方差推导- 抖音

熟悉常见概率分布

常见分布的期望和方差[汇编]_夸克文档

看见统计| Game 2020

∑ ∑ ∑ ∑

第七讲离散型随机变量的期望与方差- 作业部落Cmd Markdown 编辑阅读器

数理统计_常用分布的数学期望和方差及性质-CSDN博客

Untitled

二项分布期望和方差推导-腾讯云开发者社区-腾讯云

exp分布的期望和方差_夸克文档

扎马步-常用概率分布函数详解:R语言篇

第4章随机变量的深入内容- 知乎

第4 章Sampling And Sample Distribution | 应用统计学与R语言实现学习笔记

常见分布的期望和方差[汇编]_夸克文档

论文评述] Density estimation via mixture discrepancy and moments

熟悉常见概率分布

非制冷红外无挡片非均匀性校正方法

∑ ∑ ∑

20 概率基础(上):一篇文章帮你理解随机变量、概率分布和期望值

PPT - 概率论与数理统计PowerPoint Presentation, free download - ID:5681174

概率论与数理统计知识点| 515code-实验室

方差- Wikiwand

机器学习中常用的概率分布

ptms

Untitled

均匀分布的期望和方差-CSDN博客

我的机器学习概率论篇排列组合古典概率联合概率条件概率全概率公式贝叶斯公式独立事件随机变量离散型随机变量连续型随机变量期望和方差 三个基本定理参数估计-腾讯云开发者社区-腾讯云

对p值的理解- mdnice 墨滴

对数正态分布的期望和方差推导- 抖音

第三章方差减少技术

第4 章Sampling And Sample Distribution | 应用统计学与R语言实现学习笔记

强化学习101公开课_S1_0 概率基础- 知乎

考研数学概率论知识点概括思维导图_编号k546772-TreeMind树图

4 1数学期望| PDF

可视化数据科学中的概率分布以帮你更好地理解各种分布-腾讯云开发者社区-腾讯云

随机变量及常见分布- 知乎

对数正态分布的期望和方差推导- 抖音

概率论几大分布的期望和方差证明整合- Ironyy - 博客园

PPT - §4.2-4.3 方差PowerPoint Presentation, free download - ID:3646148

基于频繁密度分布模式的不确定数据流查询方法

随机变量及其分布2 1-2 2 | PDF

每日一题,166——数学期望,方差,标准差,协方差- 知乎

3 多元分布| 多元统计分析讲义

第十八讲条件数学期望- 作业部落Cmd Markdown 编辑阅读器

扎马步-常用概率分布函数详解:R语言篇

论文评述] Estimating Conditional Covariance between labels for Multilabel Data

扎马步-常用概率分布函数详解:R语言篇

数学基础】第八课:概率分布- welcome to x-jeff blog

均匀分布_百度百科

第九讲连续型随机变量及其概率分布- 作业部落Cmd Markdown 编辑阅读器

3 多元分布| 多元统计分析讲义

均匀分布方差的计算方法_均匀分布的方差-CSDN博客

第九讲连续型随机变量及其概率分布- 作业部落Cmd Markdown 编辑阅读器

PowerPoint 演示文稿

扎马步-常用概率分布函数详解:R语言篇

数学基础】第八课:概率分布- welcome to x-jeff blog

第十三讲随机变量函数的分布- 作业部落Cmd Markdown 编辑阅读器

随机变量及常见分布- 知乎

离散型均匀分布- 维基百科,自由的百科全书

对真实的世界建模-概率论(分布&计算)-腾讯云开发者社区-腾讯云

常用数据分布

常见的分布期望及其方差_张宇期望方差表格-CSDN博客

概率与统计– 图神经网络公社

05 2随机变量的方差,05 3常用方差| PDF

3 多元分布| 多元统计分析讲义

3 多元分布| 多元统计分析讲义

概率论几大分布的期望和方差证明整合- Ironyy - 博客园

数理统计----协方差公式推导-腾讯云开发者社区-腾讯云

常见的分布期望及其方差- Ancientea - 博客园

数据探索:概率分布(上) - 知乎

扎马步-常用概率分布函数详解:R语言篇

几何分布的数学期望与方差计算_夸克文档

PPT - 一、二维随机向量的数学期望与方差PowerPoint Presentation - ID:5799265

20 февраль 0 0
2023 copyright text.